MathTime Professional 2 Fonts — changes from original MTPro

MathTime Professional 2 (MTPro2) offers many improvements and additions over the original MathTime Professional fonts.

  • MTPro2 contains all fonts from the original MTPro, plus Supplements A & B.
  • MTPro2 also contains several new fonts, and adds numerous symbols to some of the older fonts.
  • Virtual fonts are no longer required, allowing MTPro2 to work with any TeX system.
  • MTPro2 licensing is much more liberal, allowing fonts to be embedded in any type of document without additional royalties or fees, thus facilitating full usage by online journals.
New features in MTPro2 MTPro2 new version description
 
View the MTPro2 Guide View the MTPro2 LaTeX Guide
Pricing View the MTPro2 End User License
The MTPro2 Project

[Note to original MTPro font users: MTPro2 and the original MTPro fonts do not overlap or conflict --- you may install and use both font sets on the same system.]

MTPro2 also comes in a Lite version, offering a MathTimePro replacement for the basic Computer Modern fonts, which may be used as an evaluation of MTPro2 --- if you like Lite, order the Complete set and receive full credit. If you like Lite, you'll love Complete!

Pricing

Product Price
Academic
price
MTPro2 Complete $179 $129
  Sale price $149 (http://pctexstore.com/pctex/mapro2fo.html) $79 (http://pctexstore.com/pctex/mapro2fo.html)
MTPro2 Lite Free (http://www2.pctex.com/downloads.php?product=MTP2L) Free (http://www2.pctex.com/downloads.php?product=MTP2L)
Lite -> Complete upgrade *$130 (http://pctexstore.com/pctex/mapro2fo.html) $60 (http://pctexstore.com/pctex/mapro2fo.html)
MTPro1 -> MTPro2 Complete upgrade $39 (http://pctexstore.com/pctex/mapro2fo.html) $39 (http://pctexstore.com/pctex/mapro2fo.html)
MT Y&Y -> MTPro2 Complete upgrade $99 (http://pctexstore.com/pctex/mapro2fo.html) $99 (http://pctexstore.com/pctex/mapro2fo.html)

* This upgrade is for Lite licenses purchased before November 2009.
It does not apply to free Lite licenses.

View the MTPro2 End User License

What is Academic pricing?


New features in MTPro2

The following apply to both the Lite and Complete versions

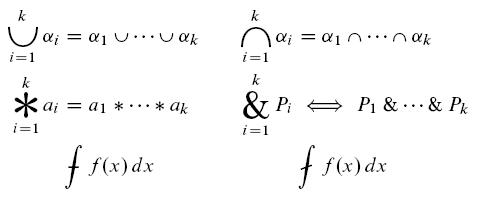
  • New symbols
Image:MTP2NewSyms.jpg
  • Additional large operators
Image:MTP2LgOps.jpg
  • The option of having an italic z with a "swash tail" (as in many versions of text Times-Italic) within equations.
Image:MTP2swashz.jpg
  • In addition to the individually designed parentheses, radical signs, etc. up to 4 inches high, and wide accents up to 4 inches high in the original MTPro fonts, there are now individually designed curly braces (and a "curly cases" construction) up to 4 inches high
  • Individually designed curly underbraces and overbraces, up to 4 inches wide
Image:mtp2underbrace.jpg
  • Optional slanted \sum, \prod, and \coprod operators
Image:MTP2largeopSlant2.jpg

A single macro package

supports both the Lite and Complete MTPro2 font sets, and replaces the macro packages for Supplements A and B of the original MathTime Professional fonts.

May be used with older TeX systems, e.g. Y&Y TeX

May be used with the original MTPro

If you have existing documents that use the original MTPro fonts, they will still work if you install MTPro2. The two versions do not overlap or conflict.

The font licensing for MTPro2 is much more liberal

than with MTPro, and fonts may be embedded in any type of document without additional royalties or fees.

The following apply to the Complete set only

Contains all the fonts from Supplements A & B of the original MTPro, including

  • Bold versions of the italic fonts
Image:MTP2BoldItalic.jpg
  • ... and both bold and heavy (extra-bold) versions of the symbol and extension fonts
Image:MTP2Bold.jpg
Image:MTP2heavy.jpg
  • Times-compatible versions of the AMS fonts
Image:MTP2AMS.jpg
  • ... as well as some additional symbols
Image:MTP2AddtlSyms.jpg
  • ... as well as bold and heavy versions
Image:MTP2AMSbold.jpg
Image:MTP2AMSheavy.jpg
  • Script, Fraktur, "Holey-Roman-Bold", and Blackboard bold fonts
Image:MTP2script.jpg
Image:MTP2fraktur.jpg
Image:MTP2BlackboardBold.jpg
Image:MTP2BlackBoardBold1.jpg
  • Also contains a "curly" script alphabet similar to a type of script font that has frequently been used in past typesetting, for those who prefer this version
Image:MTP2curly.jpg
  • In addition, there are blackboard bold and "holey bold" versions of fonts with slanted letters and numerals, as well as all the Greek letters, both slanted and upright
Image:MTP2BlackBoardBoldSlant.jpg
Image:MTP2holeySlant.jpg

MTPro2 Lite

This is a subset of MTPro2 which offers a MathTime Pro replacement for Computer Modern math fonts. Lite does not include:

  • Bold math fonts*
  • Times-compatible script, curly, fraktur, and blackboard bold fonts
  • AMS symbols

Lite can be used as an evaluation of MTPro2 --- if you like Lite, order the Complete set and receive full credit

  • Free (http://pctexstore.com/pctex/ma2lifoset.html)

* except for the bold upright math alphabets \mathbf and \mbf, and the bold versions of CM Calligraphic and the Euler fonts

The MathTime Pro 2 Project

The original MathTime Pro fonts were released in 2003 and within a year were followed by the release of two supplements, AMS fonts, and Script/Fraktur/Blackboard fonts. With the addition of the supplements the MTPro collection became a complete math typesetting environment.

The original MTPro fonts combined Times New Roman fonts, licensed from Monotype Corp., with Michael Spivak's Times-compatible math symbols and other characters. This arrangement worked well and numerous authors, journals, and publishers have been using MathTime Pro fonts. One problem, though, was the set of licensing restrictions that came with the Monotype fonts. This licensing made the use of the fonts in online journals prohibitive due to the high fees imposed by Monotype.

In mid-2005 Spivak decided to design a new set of fonts which would not use the Monotype fonts (and avoid their licensing problems), and which would combine the original MTPro and the supplements into one font set. In October 2005 an online forum was set up, and he asked for user input to guide development of MathTime Pro 2 fonts:

We are making a new version of the MTPro fonts, which will have Times-Italic-like characters designed into them, so that there will be no need for virtual fonts. This is a good opportunity to ask for new characters, etc. [See the MathTime Pro forum (http://forums.pctex.com/viewforum.php?f=4).]

He received several suggestions and incorporated most of them into the new font design. By December 2005 he had completed the design of MTPro2, and had also split the font set into Complete and Lite versions. (See MTPro2 Nearly Ready (http://forums.pctex.com/viewtopic.php?t=11).)

The next phase of the project was to design LaTeX macros and test the fonts. Walter Schmidt produced the mtpro2 LaTeX package, and testing began in March 2006. Beta testers exercised the fonts and macros extensively, and suggested changes and improvements (see the MathTime Pro II Beta forum (http://forums.pctex.com/viewforum.php?f=7)). Some new symbols were added, there were some small changes to the LaTeX macros, and by the end of April 2006 the fonts were ready to be released.

As a bystander I was impressed with the testers, their ability and willingness to make valuable suggestions, and their understanding of how to use the font set. It was also a privilege to work with Michael Spivak and Walter Schmidt, and watch as they applied their intellects and talents to refine the fonts and macros into an amazing product. If you decide to use MathTime Pro 2 fonts you will have a unique and beautifully designed product, and I'm sure you will be pleased with the results.

Lance Carnes
Personal TeX, Inc.
May 2006

New features in MTPro2 MTPro2 new version description